• 首页
  • 关于味盟
    • 公司简介
    • 企业掠影
    • 资质荣誉
    • 人才招聘
    • 销售网络
  • 产品中心
    • 香辛料系列
      • 单体粉末状
      • 单体整状
      • 复合粉末状
    • 合成香料
      • 吡嗪系列
      • 噻唑系列
      • 呋喃系列
      • 吡咯系列
      • 吡啶系列
      • 噻吩系列
      • 含硫类
    • 其它有机类化合物及其中间体
  • 新闻动态
  • 在线商城
  • 联系我们
  • EN




yummy
Weimeng

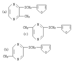
2-甲基-3(5/6)-糠硫基吡嗪



 

产品号: 1012
品名: 2-甲基-3(5/6)-糠硫基吡嗪
分子式:

C10H10N2OS

结构式: PIC
安全性依据:

FEMA: 3189
CAS: 65530-53-2





  上一条产品: 2-甲基-3(5/6)-甲硫基吡嗪
  下一条产品: 2-甲氧基-3-异丁基吡嗪

产品搜索
产品类别
香辛料系列
Spice Series
合成香料
Synthetic fragrance
其它有机类化合物
及其中间体
Other product
分享到
联系味盟
枣庄味盟食品科技有限公司
地址:山东省枣庄市市中区孟庄镇里筲村
  • sales@zaozhuangweimeng.com
  • 公司电话:0632-3588066
  • 13589608009 (孙经理)
  • 13969409079 (朱经理)
网站导航
  • »  网站首页
  • »  公司简介
  • »  产品展示
  • »  新闻中心
  • »  在线订单
  • »  联系我们
  • »  ENGLISH
产品分类
  • »  香辛料系列
  • »  合成香料
  • »  其它有机类化合物
    及其中间体
味盟小程序
扫一扫 手机版
枣庄味盟食品科技有限公司 版权所有(C)2021  网络支持 中国化工网  全球化工网  生意宝 著作权声明 网站管理 大宗品 企业邮局  鲁ICP备2021026930号